Zum Hauptinhalt springen
Zur Startseite gehen

DBUF40-24

Produktinformationen "DBUF40-24"

Technische Informationen & Details zum MEAN WELL DBUF40-24 Puffermodul

  • Ausgangsstrom: 40 A (Max)
  • Betriebsspannung: 24 V DC
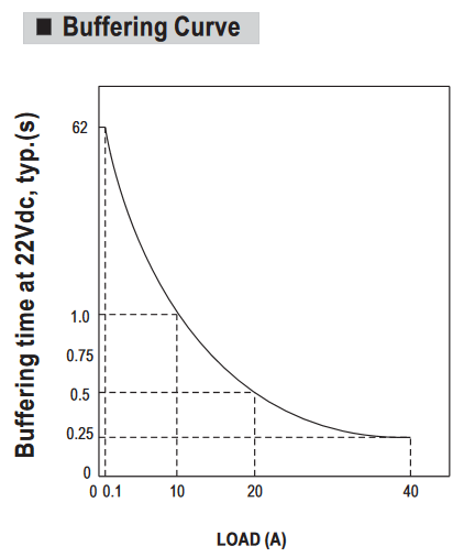
  • Pufferzeit: 250ms @ 22Vdc/40A (Typ.)
  • Ladestrom: 900 mA (Max)
  • Eingangsspannungsbereich: 23 – 30 V DC (Ladespannung)
  • Wirkungsgrad/Standby-Verbrauch: < 100 mA
  • Restwelligkeit & Rauschen: ≤ 350 mVp-p
  • Ladezeit: 25s (Typ.) / 35s (Max)
  • Puffermodus-Wahl: Fixed Mode (22Vdc) oder Dynamic Mode (Vin-1Vdc)
  • Betriebstemperatur: −25 °C bis +75 °C
  • Kühlung: Natürliche Konvektion
  • Schutzfunktionen: Überspannung, Überlast, Kurzschluss, Verpolungsschutz
  • Überspannungskategorie: OVC II
  • Isolationsspannung: 2,2 KV DC (IP/OP-FG)
  • Maße (H x B x T): 125,2 mm x 63 mm x 114.9 mm
  • Gewicht: 1,062 kg
  • Sicherheits- & EMV-Zertifikate: UL62368-1, IEC62368-1, CE, UKCA, EAC
  • LED-Anzeige: Statusanzeige (Geladen, Laden, Entladen)
  • Herstellergarantie: 3 Jahre

Informationen zum MEAN WELL DBUF40-24

Das MEAN WELL DBUF40-24 ist ein leistungsstarkes DIN-Schienen-Puffermodul, das speziell zur Absicherung von geregelten 24V-DC-Stromversorgungen entwickelt wurde. Im Gegensatz zu herkömmlichen USV-Systemen nutzt dieses Modul wartungsfreie Elektrolytkondensatoren zur Energiespeicherung. Diese Technologie bietet den entscheidenden Vorteil einer wesentlich längeren Lebensdauer und macht den periodischen Austausch teurer Blei-Säure-Batterien überflüssig. Das Gerät ist somit eine hochwirtschaftliche und zuverlässige Lösung für die Halbleiterfertigung, Fabrikautomation und industrielle Steuerungssysteme, indem es eine Überbrückungszeit von 250ms bei vollen 40A Last garantiert, um kurzzeitige Spannungseinbrüche sicher abzufangen.

Ein besonderes Merkmal des DBUF40-24 ist die hohe betriebliche Flexibilität durch den integrierten Wahlschalter für den Puffermodus, der zwischen einem festen Schwellenwert von 22Vdc und einem dynamischen Vin-1Vdc-Modus unterscheiden kann. Für Anwendungen mit höherem Leistungsbedarf lassen sich mehrere Einheiten problemlos parallel schalten, um entweder die Stromstärke zu erhöhen oder die Pufferzeit zu verlängern. Dank der umfassenden Schutzbeschaltung, inklusive eines internen MOSFET-Verpolungsschutzes und einer Kurzschlussüberwachung, bietet das Modul ein Höchstmaß an Sicherheit für die angeschlossenen Lasten. Mit seinem breiten Arbeitstemperaturbereich und dem robusten Design ist es ideal für anspruchsvolle elektromechanische Apparate und Netzwerkumgebungen geeignet.


Verfügbare Downloads
Download DBUF40 Datenblatt
Eigenschaften für "DBUF40-24"
Breite: 160
Effizienz: 92
Gewicht: 0,90kg
Herstellergarantie: 3 Jahre
Höhe: 101
Leistung: 500
Länge: 233
Schutzart: IP20
Spannung: 85 VDC
Strom: 20
Zulassungen: CE, UL

Kunden kauften auch

MDR-60-24
Technische Informationen & Details zum MEAN WELL MDR-60-24 Netzteil Ausgangsleistung: 60 W Ausgangsspannung: 24 V DC Ausgangsstrom: 2,5 A Eingangsspannungsbereich: 85 – 264 V AC / 120 – 370 V DC, 47 – 63 Hz Wirkungsgrad: 87 % Restwelligkeit & Rauschen: ≤ 150 mVp-p Einschaltstrom: 30 A @ 115 VAC / 60 A @ 230 VAC Leerlaufleistung: < 0,75 W Betriebstemperatur: −20 °C bis +70 °C Kühlung: Lüfterlose freie Luftkonvektion Schutzfunktionen: Kurzschluss, Überlast (Konstantstrombegrenzung), Überspannung Besondere Funktionen: DC OK Relaiskontakt Isolationsspannung: 3000 V AC zwischen Eingang und Ausgang Maße (B x H x T): 40 mm x 90 mm x 100 mm Gewicht: 287 g Sicherheits- & EMV-Zertifikate: UL508, UL62368-1, TUV EN62368-1, Class I Div 2 Hazardous Locations T4 LED-Anzeige: Power-On LED-Indikator Herstellergarantie: 3 Jahre Informationen zum MEAN WELL MDR-60-24 Das MEAN WELL MDR-60-24 ist ein hochzuverlässiges 24V-DIN-Schienen-Netzteil, das als Industriestandard für die effiziente Stromversorgung von Steuerungen und Sensoren gilt[cite: 3, 4, 19]. Mit einem hervorragenden Wirkungsgrad von 87 % minimiert es die thermische Belastung im Schaltschrank und ermöglicht einen lüfterlosen Betrieb durch natürliche Konvektion[cite: 7, 19]. Ein besonderes Highlight ist die Class I, Div 2 Zertifizierung, die den Einsatz in explosionsgefährdeten Bereichen ermöglicht, gepaart mit einem integrierten DC-OK-Relaiskontakt für die Echtzeit-Statusüberwachung[cite: 9, 11, 19]. Dank der Konstantstrombegrenzung bietet das Gerät optimalen Schutz bei Überlast und stellt sicher, dass das System nach der Fehlerbehebung automatisch wieder anläuft[cite: 19]. Mit seiner schmalen Bauform von 40 mm und der extrem niedrigen Leerlaufverlustleistung ist es die ideale Wahl für energiebewusste und platzkritische Anwendungen in der Gebäudeautomation und industriellen Steuerungstechnik[cite: 12, 19].

ab 15,50 €*
SDR-120-24
Technische Informationen & Details zum MEAN WELL SDR-120-24 Netzteil Ausgangsleistung: 120 W (180 W Peak) Ausgangsspannung: 24 V DC Ausgangsstrom: 5 A Eingangsspannungsbereich: 88 – 264 V AC / 124 – 370 V DC, 47 – 63 Hz Wirkungsgrad: 90,5 % Restwelligkeit & Rauschen: ≤ 100 mVp-p Einschaltstrom: 35 A @115 VAC / 70 A @230 VAC Spannungseinstellbereich: 24 – 28 V Betriebstemperatur: −25 °C bis +70 °C Kühlung: lüfterlos natürliche Konvektion Schutzfunktionen: Kurzschluss, Überlast, Überspannung, Übertemperatur Leistungsfaktor: PF > 0,93 / 230 VAC Isolationsspannung: 3000 V AC zwischen Eingang und Ausgang Maße (B x H x T): 40 mm x 125,2 mm x 113,5 mm Gewicht: 0,67 kg Sicherheits- & EMV-Zertifikate: UL 508, EN62368-1, SEMI F47, GL, EAC, CE Statusüberwachung: Integrierter DC-OK-Relaiskontakt und LED-Anzeige Herstellergarantie: 3 Jahre Informationen zum MEAN WELL SDR-120-24 Das MEAN WELL SDR-120-24 ist ein hochleistungsfähiges Hutschienen-Netzteil, das speziell für anspruchsvolle Industrieanwendungen entwickelt wurde, bei denen Kompaktheit und Ausfallsicherheit oberste Priorität haben. Das prägnanteste Merkmal ist die 150 % Peak-Load-Reserve, wodurch das Netzteil kurzzeitig bis zu 180 W für 3 Sekunden bereitstellen kann. Dies ist essenziell für den Anlauf von induktiven Lasten wie Motoren oder Magnetventilen, die im Einschaltmoment hohe Ströme ziehen. Dank der schmalen Bauweise von nur 40 mm spart es signifikant Platz auf der DIN-Schiene, während der hohe Wirkungsgrad von 90,5 % einen kühlen und energieeffizienten Betrieb durch freie Luftkonvektion ermöglicht. Für eine professionelle Systemintegration verfügt das SDR-120-24 über eine aktive Leistungsfaktorkorrektur (PFC), die Netzrückwirkungen minimiert und den Wirkleistungsanteil optimiert. Ein integrierter DC-OK-Relaiskontakt erlaubt zudem die Fernüberwachung des Ausgangsstatus, was die Wartung und Diagnose in automatisierten Anlagen erheblich vereinfacht. Das Netzteil ist umfassend gegen Kurzschluss, Überlast, Überspannung und Übertemperatur geschützt, was eine maximale Anlagenverfügbarkeit garantiert. Die Einhaltung strenger industrieller Immunitätsstandards und die 3-jährige Herstellergarantie machen dieses Gerät zu einer extrem zuverlässigen Wahl für die Fabrikautomation, Steuerungstechnik und den Maschinenbau.

ab 42,70 €*